服务热线
0769-28680919
153-2293-3971 / 177-0769-6579

1 概述
机器视觉镜头透镜由于制造精度以及组装工艺的偏差会引入畸变,导致原始图像的失真,即图像畸变。
在前一篇文章《机器视觉模型——投影矩阵》中描述了机器视觉系统成像模型,在这个模型里包含了相机内参(与像元尺寸、焦距、像素中心有关)以及相机外参(与相机在世界坐标系的位姿有关),这个模型是一个理想模型,或者说线性模型,没有考虑到镜头透镜产生的畸变所带来的影响。
结合上文成像模型,可以把畸变理解成像点和物点之间的光线是弯曲的,如下图所示。

图中本来应该共线的三个点O、P、Q,现在由于透镜的某种偏差原因而不共线了,Pcrt被成像在了P点,很明显,此时的关系不再是前文讨论的矩阵关系了,也就是说,在畸变存在的条件下,用前文的矩阵公式计算出来的结果是不正确的。
所以,在用这个视觉模型矩阵公式前,需要先把产生的畸变消除掉,与前文同样原理,如果透镜畸变能用一个数学模型或者数学公式来表达,我们就可以很方便地消除畸变,我们把这个模型称为“畸变模型”。
2 透镜的畸变
透镜的畸变主要包括:径向畸变、切向畸变、薄透镜畸变等等,但最显著的是径向畸变和切向畸变,所以我们这个模型里只考虑这两种畸变。同时,图像的畸变是两种畸变的组合,因此把整个畸变分解为径向畸变分量和切向畸变分量。
2.1 径向畸变
径向畸变:就是沿着透镜半径方向分布的畸变,如我们所熟知的鱼眼镜头产生的畸变、枕形畸变、桶形畸变等。


下图为径向畸变的分布,一般越远离中心越严重。


2.2 切向畸变
切向畸变:是由于透镜本身与相机传感器平面(像平面)或图像平面不平行而产生的,这种情况多是由于透镜被粘贴到镜头模组上的安装偏差导致,如下图所示。


随着相机制造工艺的大大提升,这种情况很少出现了,所以很多时候已经可以不考虑切向畸变。
下图为切向畸变的分布


3 机器视觉畸变模型
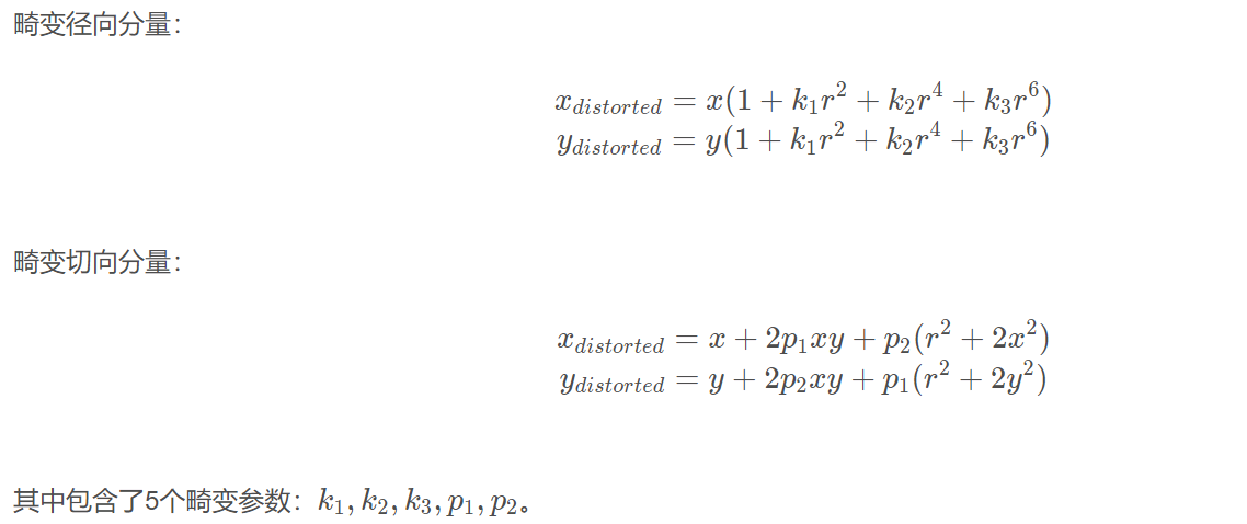
综上,可以得到机器视觉系统透镜畸变模型如下

对于一个给定的镜头成像系统,这5个畸变参数怎么获得?这就涉及到“相机标定”,即需要根据一系列已知的若干对原成像点与畸变成像点的坐标值,带入以上公式来解出,具体的限于篇幅这里不详细讨论。
————————————————
版权声明:本文为CSDN博主「寒韩Glory」的原创文章,遵循CC 4.0 BY-SA版权协议,转载请附上原文出处链接及本声明。
原文链接:https://blog.csdn.net/hangl_ciom/article/details/106252235
胶囊生产线机器视觉检测系统
2026-01-30
胶囊生产线上的机器视觉检测系统,通过非接触式成像和图像分析,能360°自动检测胶囊的外观缺陷(如裂纹、异物、印字不清),替代人工目检,提升药品生产的质量控制效率和合规性。
泡罩包装线机器视觉检测系统
2026-01-30
针对泡罩包装线的机器视觉检测系统,其核心是通过高速成像与智能算法,实现100%在线全检,替代传统人工抽检,主要检测药品/物品缺失、破损、异物、密封不良等缺陷。
药盒印刷缺陷机器视觉检测系统
2026-01-30
一、 为什么需要这样的系统?(必要性) 1. 药品安全与法规合规:药品包装上的信息(如药品名称、剂量、批号、有效期、用法用量)必须100%准确清晰。任何印刷错误(如漏印、错印、模糊)都可能导致严重的用药错误,违反《药品管理法》和GMP(药品生产质量管理规范)等法规。
瓶装药品瓶内异物机器视觉检测系统
2026-01-24
该系统旨在100%全检药品(注射液、西林瓶、口服液、粉针剂等)瓶内的可见异物,如玻璃屑、金属颗粒、毛发、纤维、浮游生物等。
官方公众号
官方抖音号Copyright ? 2022 东莞康耐德智能控制有限公司版权所有.机器视觉系统 粤ICP备2022020204号-1 联系我们 | 网站地图